반응형
플레티넘 치고 기하가 들어가서 쉬운 문제.(물론 선행 문제를 풀지 않았다면 어려운 문제다.)

문제
2차원 좌표 평면 위의 두 선분 L1, L2가 주어졌을 때, 두 선분이 교차하는지 아닌지 구해보자. 한 선분의 끝 점이 다른 선분이나 끝 점 위에 있으면 교차하는 것이다.
L1의 양 끝 점은 (x1, y1), (x2, y2), L2의 양 끝 점은 (x3, y3), (x4, y4)이다.
입력
첫째 줄에 L1의 양 끝 점 x1, y1, x2, y2가, 둘째 줄에 L2의 양 끝 점 x3, y3, x4, y4가 주어진다.
출력
L1과 L2가 교차하면 첫째 줄에 1, 아니면 0을 출력한다.
두 선분이 한 점에서 교차하는 경우 둘째 줄에 교차하는 점의 x좌표와 y좌표를 공백으로 구분해 출력한다. 한 점에서 교차하지 않는 경우에는 둘째 줄을 출력하지 않는다.
좌표의 절대/상대 오차는 10-9까지 허용한다.
제한
- -1,000,000 ≤ x1, y1, x2, y2, x3, y3, x4, y4 ≤ 1,000,000
- x1, y1, x2, y2, x3, y3, x4, y4는 정수
구현
def findFunc(x1,y1,x2,y2):
a=findA(x1,y1,x2,y2)
flag = False # 특이
if a==float('inf'):
flag = True
#print("x=",x1)
if y1==y2:
return x1,y1,True
return x1,float('inf'), True
b= findB(x1,y1,a)
#print(a,"x+",b,"=y")
return a,b,False
def findA(x1,y1,x2,y2):
if x1==x2:
return float('inf')
else:
return (y2-y1)/(x2-x1)
def findB(x1,y1,a):
return y1-a*x1
def findCrossPoint(x1,y1,x2,y2,x3,y3,x4,y4):
a1,b1,flag1= findFunc(x1,y1,x2,y2)
a2,b2,flag2= findFunc(x3,y3,x4,y4)
if flag1 and b1==float('inf'):# x=a1
return a1,a2*a1+b2
elif flag1: # (a1,b1)
return x1,x2
if flag2 and b2==float('inf'):
return a2,a1*a2+b1
elif flag2:
return x3,x4
else:
# print(a2,b2,a1,b1)
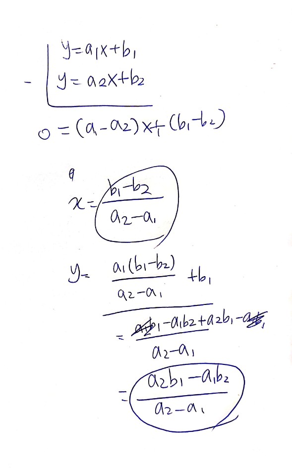
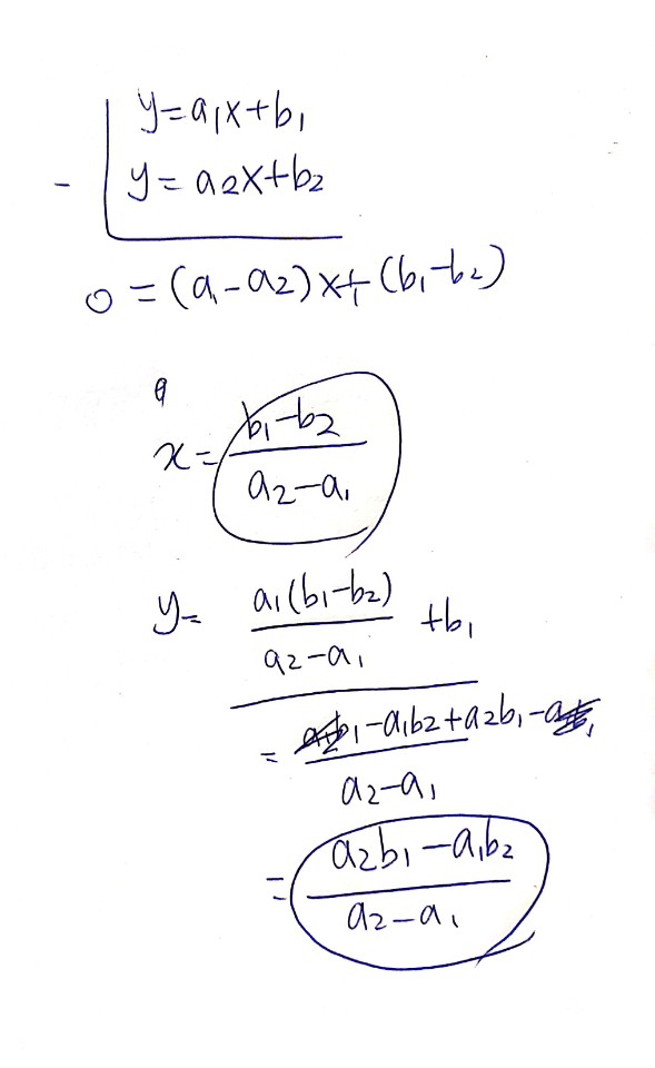
if a2!=a1:
return (b1-b2)/(a2-a1), (b1*a2-b2*a1)/(a2-a1)
else: # 일직선
# print("어쩌지")
if min(x1,x2)<=max(x3,x4) and min(x3,x4)<=max(x1,x2) and min(y1,y2)<=max(y3,y4) and min(y3,y4)<=max(y1,y2):
if min(x1,x2)==max(x3,x4):
return min(x1,x2),min(x1,x2)*a1+b1
if max(x1,x2)==min(x3,x4):
return max(x1,x2),max(x1,x2)*a1+b1
else:
return float('inf'),float('inf')
x1, y1, x2, y2=map(int, input().split())
x3, y3, x4, y4=map(int, input().split())
xans=float('inf')
yans=float('inf')
answer=0
didanswer=False
def ccw(x1,y1,x2,y2,x3,y3):
tmp= (x2-x1)*(y3-y1)- (x3-x1)*(y2-y1)
if tmp> 0:
return 1
elif tmp < 0:
return -1
else:
return 0
if ccw(x1,y1,x2,y2,x3,y3) * ccw(x1,y1,x2,y2,x4,y4)==0 and ccw(x3,y3,x4,y4,x1,y1) * ccw(x3,y3,x4,y4,x2,y2)==0:
didanswer=True
if min(x1,x2)<=max(x3,x4) and min(x3,x4)<=max(x1,x2) and min(y1,y2)<=max(y3,y4) and min(y3,y4)<=max(y1,y2):
answer=1
xans, yans=findCrossPoint(x1,y1,x2,y2,x3,y3,x4,y4)
if ccw(x1,y1,x2,y2,x3,y3) * ccw(x1,y1,x2,y2,x4,y4)<=0 and ccw(x3,y3,x4,y4,x1,y1) * ccw(x3,y3,x4,y4,x2,y2)<=0:
if not didanswer:
xans, yans=findCrossPoint(x1,y1,x2,y2,x3,y3,x4,y4)
answer=1
print(answer)
if xans!=float('inf') and yans!=float('inf'):
if xans%1==0:
xans=round(xans)
if yans%1==0:
yans=round(yans)
print(xans,yans)
xans=float('inf')
yans=float('inf')
반응형
'알고리즘' 카테고리의 다른 글
| 백준 11725번 트리 부모 찾기 파이썬 실버 2 트리 (BFS) (0) | 2021.01.20 |
|---|---|
| 백준 1010번 다리 놓기 파이썬 실버5 정수론 및 조합론 (0) | 2021.01.20 |
| 백준 17386번 선분 교차1 파이썬 골드3 (0) | 2021.01.18 |
| 백준 17387번 선분 교차2 파이썬 골드2 기하 (0) | 2021.01.18 |
| 백준 11758번 CCW 골드5 기하 파이썬 (0) | 2021.01.15 |