반응형
프로그래머스 시간제한 미쳤다 ㅠㅠ
문제 설명
n개의 노드가 있는 그래프가 있습니다. 각 노드는 1부터 n까지 번호가 적혀있습니다. 1번 노드에서 가장 멀리 떨어진 노드의 갯수를 구하려고 합니다. 가장 멀리 떨어진 노드란 최단경로로 이동했을 때 간선의 개수가 가장 많은 노드들을 의미합니다.
노드의 개수 n, 간선에 대한 정보가 담긴 2차원 배열 vertex가 매개변수로 주어질 때, 1번 노드로부터 가장 멀리 떨어진 노드가 몇 개인지를 return 하도록 solution 함수를 작성해주세요.
제한사항
- 노드의 개수 n은 2 이상 20,000 이하입니다.
- 간선은 양방향이며 총 1개 이상 50,000개 이하의 간선이 있습니다.
- vertex 배열 각 행 [a, b]는 a번 노드와 b번 노드 사이에 간선이 있다는 의미입니다.
입출력 예
nvertexreturn
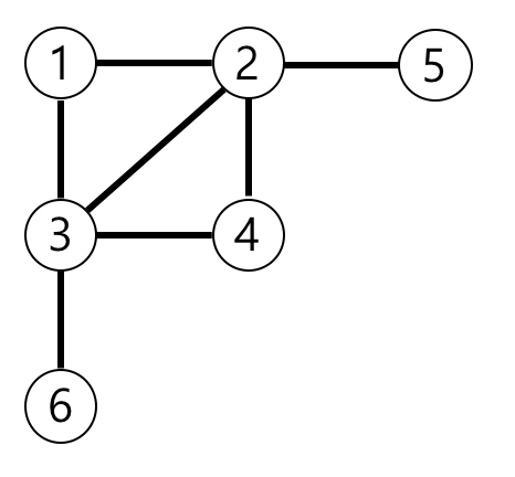
| 6 | [[3, 6], [4, 3], [3, 2], [1, 3], [1, 2], [2, 4], [5, 2]] | 3 |
입출력 예 설명
예제의 그래프를 표현하면 아래 그림과 같고, 1번 노드에서 가장 멀리 떨어진 노드는 4,5,6번 노드입니다.

import collections
def solution(n, edge):
answer = 0
maps=collections.defaultdict(list)
for e in edge:
maps[e[0]].append(e[1])
maps[e[1]].append(e[0])
def bfs(maps, start,n):
# cost=[n-1 for i in range(n+1)]
cost=[n-1]*(n+1)
cost[0]=-1
cost[1]=0
visited=[]
will_visit=collections.deque([start])
while will_visit:
travel= will_visit.popleft()
ww=travel[0]
visited.append(ww)
while maps[ww]:
k = maps[ww].pop()
if cost[k]> travel[1]+1 and k not in visited :
will_visit.append((k, travel[1]+1))
cost[k]=travel[1]+1
maxi = max(cost)
print(cost)
c=collections.Counter(cost)
return c[maxi]
return bfs(maps,(1,0),n )반응형
'알고리즘' 카테고리의 다른 글
| 백준 1516번 게임 개발 골드3 파이썬 (0) | 2021.01.29 |
|---|---|
| 백준 12904번 A와 B (0) | 2021.01.29 |
| 백준 14500번 테트로미노 파이썬 골드5 wip (0) | 2021.01.27 |
| 백준 1339번 단어 수학 브루트 포스 쉬운 골드 4 (0) | 2021.01.26 |
| 백준 1759번 암호 만들기 브루트 포스 파이썬 (0) | 2021.01.26 |