반응형
트리를 구현할줄 알면 쉬운 문제
문제
이진 트리를 입력받아 전위 순회(preorder traversal), 중위 순회(inorder traversal), 후위 순회(postorder traversal)한 결과를 출력하는 프로그램을 작성하시오.

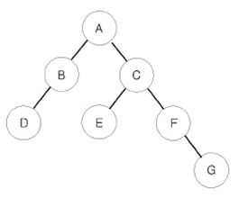
예를 들어 위와 같은 이진 트리가 입력되면,
- 전위 순회한 결과 : ABDCEFG // (루트) (왼쪽 자식) (오른쪽 자식)
- 중위 순회한 결과 : DBAECFG // (왼쪽 자식) (루트) (오른쪽 자식)
- 후위 순회한 결과 : DBEGFCA // (왼쪽 자식) (오른쪽 자식) (루트)
가 된다.
입력
첫째 줄에는 이진 트리의 노드의 개수 N(1≤N≤26)이 주어진다. 둘째 줄부터 N개의 줄에 걸쳐 각 노드와 그의 왼쪽 자식 노드, 오른쪽 자식 노드가 주어진다. 노드의 이름은 A부터 차례대로 영문자 대문자로 매겨지며, 항상 A가 루트 노드가 된다. 자식 노드가 없는 경우에는 .으로 표현된다.
출력
첫째 줄에 전위 순회, 둘째 줄에 중위 순회, 셋째 줄에 후위 순회한 결과를 출력한다. 각 줄에 N개의 알파벳을 공백 없이 출력하면 된다.
구현
tree={}
class Node:
def __init__(self, value, left, right):
self.value = value
self.right= right
self.left = left
def add_left(self, left):
if left in tree:
self.left = tree[left]
else:
tree[left] = Node(left,None, None)
self.left = tree[left]
def add_right(self, right):
if right in tree:
self.right = tree[right]
else:
tree[right] = Node(right,None, None)
self.right = tree[right]
N = int(input())
for _ in range(N):
value, left, right = input().split()
if left =='.':
left= None
if right =='.':
right = None
if value in tree:
tree[value].add_left(left)
tree[value].add_right(right)
else:
tree[value]=Node(value, None, None)
tree[value].add_left(left)
tree[value].add_right(right)
def preorder(tree, start):
if not start in tree:
return
print(tree[start].value, end ='')
if tree[start].left.value!=None:
preorder(tree, tree[start].left.value)
if tree[start].right.value!=None:
preorder(tree, tree[start].right.value)
def midorder(tree, start):
if not start in tree:
return
if tree[start].left.value!=None:
midorder(tree, tree[start].left.value)
print(tree[start].value, end ='')
if tree[start].right.value!=None:
midorder(tree, tree[start].right.value)
def afterorder(tree, start):
if not start in tree:
return
if tree[start].left.value!=None:
afterorder(tree, tree[start].left.value)
if tree[start].right.value!=None:
afterorder(tree, tree[start].right.value)
print(tree[start].value, end ='')
preorder(tree, 'A')
print()
midorder(tree, 'A')
print()
afterorder(tree, 'A')
반응형
'알고리즘' 카테고리의 다른 글
| wip: 백준 3665번 최종 순위 파이썬 골드1 위상정렬 (0) | 2021.01.25 |
|---|---|
| 백준 2252번 줄 세우기 골드2 파이썬 위상정렬기본( 2021.03.02 다시품) (0) | 2021.01.25 |
| 백준 11725번 트리 부모 찾기 파이썬 실버 2 트리 (BFS) (0) | 2021.01.20 |
| 백준 1010번 다리 놓기 파이썬 실버5 정수론 및 조합론 (0) | 2021.01.20 |
| 백준 20149번 선분 교차 3 파이썬 플레5 기하 (0) | 2021.01.19 |