반응형
n개의 노드가 있는 그래프가 있습니다. 각 노드는 1부터 n까지 번호가 적혀있습니다. 1번 노드에서 가장 멀리 떨어진 노드의 갯수를 구하려고 합니다. 가장 멀리 떨어진 노드란 최단경로로 이동했을 때 간선의 개수가 가장 많은 노드들을 의미합니다.
노드의 개수 n, 간선에 대한 정보가 담긴 2차원 배열 vertex가 매개변수로 주어질 때, 1번 노드로부터 가장 멀리 떨어진 노드가 몇 개인지를 return 하도록 solution 함수를 작성해주세요.
제한사항
- 노드의 개수 n은 2 이상 20,000 이하입니다.
- 간선은 양방향이며 총 1개 이상 50,000개 이하의 간선이 있습니다.
- vertex 배열 각 행 [a, b]는 a번 노드와 b번 노드 사이에 간선이 있다는 의미입니다.
입출력 예
| 6 | [[3, 6], [4, 3], [3, 2], [1, 3], [1, 2], [2, 4], [5, 2]] | 3 |
입출력 예 설명
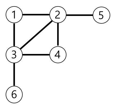
예제의 그래프를 표현하면 아래 그림과 같고, 1번 노드에서 가장 멀리 떨어진 노드는 4,5,6번 노드입니다.

import collections
def solution(n, edge):
answer = 0
dp=[float('inf') for _ in range(n+1)]
dp[1]=0
dp[0]=-1
trees=collections.defaultdict(list)
for e in edge:
trees[e[0]].append(e[1])
trees[e[1]].append(e[0])
will_visit=collections.deque([1])
while will_visit:
travel = will_visit.popleft()
for node in trees[travel]:
if dp[node]> dp[travel]+1:
dp[node]= dp[travel]+1
will_visit.append(node)
max_dp=max(dp)
return collections.Counter(dp)[max_dp]반응형
'알고리즘' 카테고리의 다른 글
| 백준 2170번 선 긋기 파이썬 - 스위핑 알고리즘 1차원 (0) | 2021.02.15 |
|---|---|
| 백준 1655 가운데를 말해요 우선순위 큐 2개 쓰기 (0) | 2021.02.13 |
| 유니온 파인드 (0) | 2021.02.08 |
| 백준 15685번 드래곤커브 파이썬 삼성 골드4 (0) | 2021.02.08 |
| 백준 17144번 미세먼지 안녕! 골드 5 파이썬 삼성 역량 (0) | 2021.02.08 |