유명한거랑 내가 풀수 있는거랑은 다르지. 내눈엔 dp로 안풀린다. 손코딩하다가 몰라! 하고 답보는 중..
내일이 코테라면 어떡하냐
그런데 확실히 뭔가 좀 알겠는게
dp 를 배열로 만들고
항상 반복문을 통해 dp 배열을 채워나가는 형식인 것 같다.
요소들을 배열에 넣어 놓는다는 것을 이제 깨우쳤다.
동적 프로그래밍을 이용해서 시간복잡도 O(nk)로 문제를 해결할 수 있다.

🎈 문제 풀이의 핵심 아이디어
=> 이진 행렬로 문제를 품
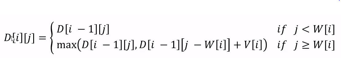
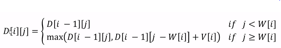
핵심아이디어: 모든 무게에 대하여 최대가치 저장하기
D[i][j] = 배낭에 넣은 물품의 무게 합이 j 일때 얻을 수 있는 최대 가치
각 물품 번호 i 에 따라서 최대 가치 테이블 D[i][j]를 갱신하여 문제를 해결할 수 있다.

(이 식은 외워야합니다. 암기암기암기 이 친구때문에 제게는 이진행렬이 필요합니다.)
문제
이 문제는 아주 평범한 배낭에 관한 문제이다.
한 달 후면 국가의 부름을 받게 되는 준서는 여행을 가려고 한다. 세상과의 단절을 슬퍼하며 최대한 즐기기 위한 여행이기 때문에, 가지고 다닐 배낭 또한 최대한 가치 있게 싸려고 한다.
준서가 여행에 필요하다고 생각하는 N개의 물건이 있다. 각 물건은 무게 W와 가치 V를 가지는데, 해당 물건을 배낭에 넣어서 가면 준서가 V만큼 즐길 수 있다. 아직 행군을 해본 적이 없는 준서는 최대 K무게까지의 배낭만 들고 다닐 수 있다. 준서가 최대한 즐거운 여행을 하기 위해 배낭에 넣을 수 있는 물건들의 가치의 최댓값을 알려주자.
입력
첫 줄에 물품의 수 N(1 ≤ N ≤ 100)과 준서가 버틸 수 있는 무게 K(1 ≤ K ≤ 100,000)가 주어진다. 두 번째 줄부터 N개의 줄에 거쳐 각 물건의 무게 W(1 ≤ W ≤ 100,000)와 해당 물건의 가치 V(0 ≤ V ≤ 1,000)가 주어진다.
입력으로 주어지는 모든 수는 정수이다.
출력
한 줄에 배낭에 넣을 수 있는 물건들의 가치합의 최댓값을 출력한다.

N,K = map(int, input().split())
weight = [0]
gold =[0]
for _ in range(N):
w, g= map(int, input().split())
weight.append(w)
gold.append(g)
dp=[[0 for i in range(K+1)] for k in range(N+1)]
for w in range(1, N+1):
for i in range(1, K+1):
if i>= weight[w]:
# print(weight[w],gold[w],dp[w] )
dp[w][i]=max(dp[w-1][i], dp[w-1][i-weight[w]]+gold[w])
# 요게 w-1 인 이유 : 중복 제거
else:
dp[w][i]=dp[w-1][i]
print(dp[N][K])

'알고리즘' 카테고리의 다른 글
| 백준 17830번 이진수씨의 하루 일과 (0) | 2020.10.16 |
|---|---|
| 백준 1463번 1로만들기 파이썬 (0) | 2020.10.16 |
| 백준 1904번 01타일 파이썬 (0) | 2020.10.13 |
| 백준 1766번 문제집 파이썬 : 위상정렬 (3) | 2020.10.13 |
| 백준 1715번 카드 정렬하기 (0) | 2020.10.12 |